BLOG
About
Contact
Say hi to my people
Twitter
Facebook
RSS
October 30, 2021
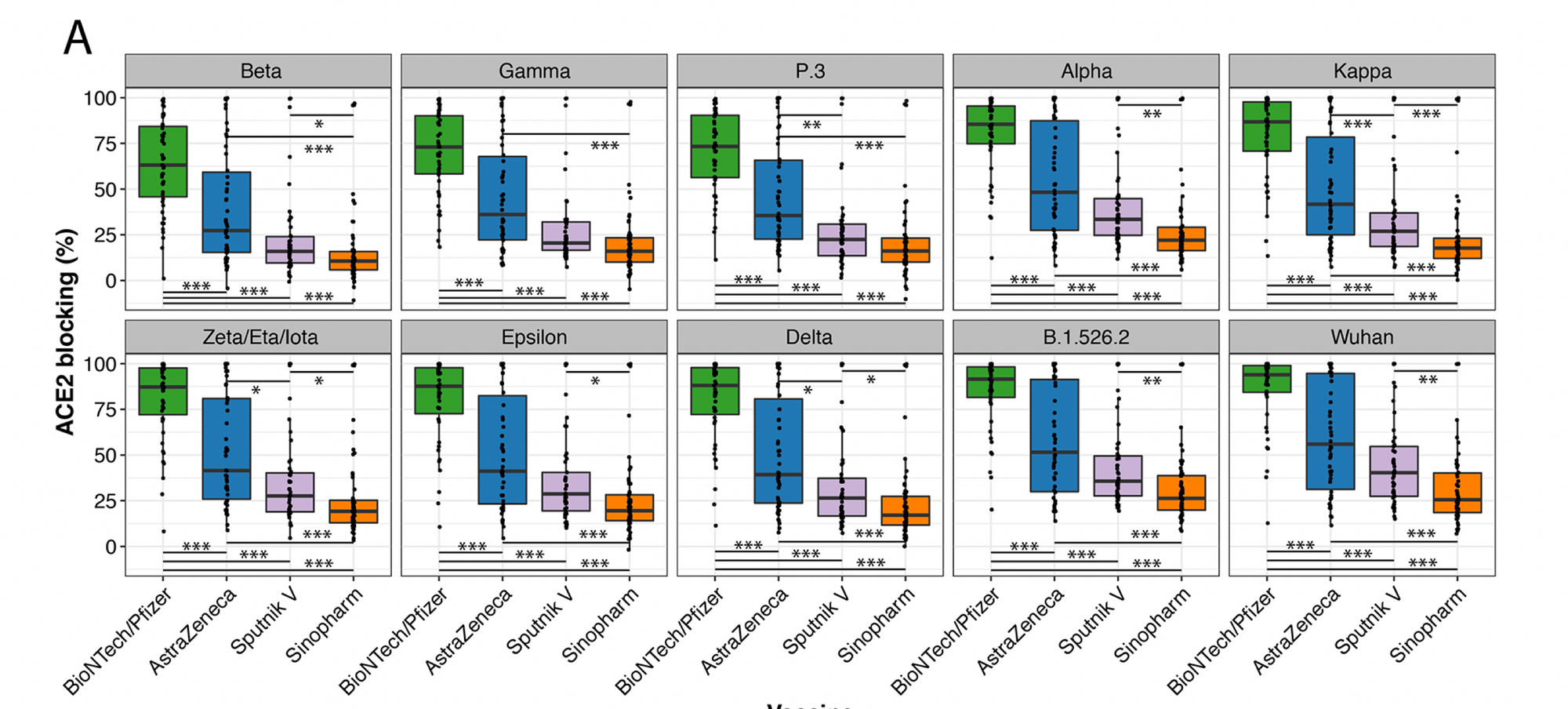
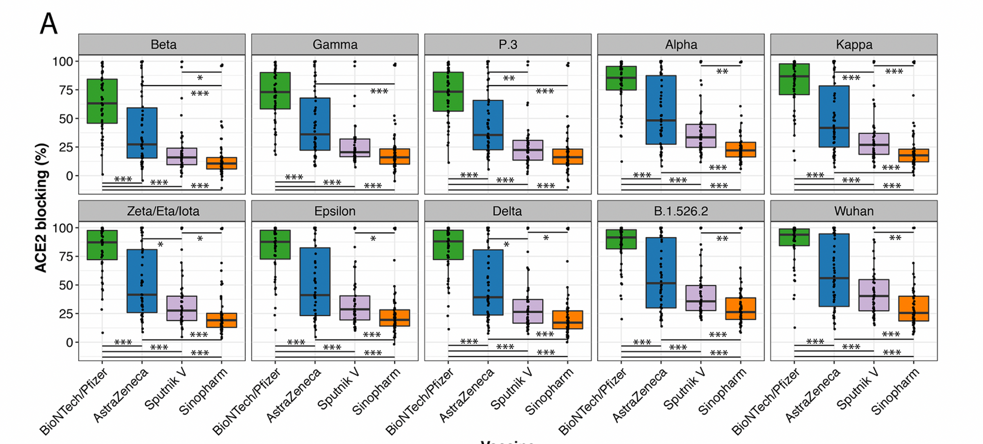
Scientists published Comparison of Antibody Response to Covid Vaccines in Mongolia
reference:
https://www.medrxiv.org/content/10.1101/2021.08.22.21262161v1
© Soyonbo the Journalist
Design by
HTML5 UP
Published with
Ghost